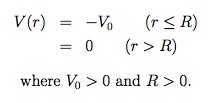
3D square well

The isotropic three-dimensional square well is defined by the potential
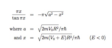
Its bound state energy levels are determined by the solutions of the equation
A graphical illustration of the solution process is shown below.



where the values of the parameter a for the red curves are 0.25, 0.5, 0.75, 1.5, 2.5 and 4, from top to bottom, and the intersection of a red curve with a blue curve determines an energy level.